約70年前の東大文系数学舐めすぎだろこの時代に戻してくれ https://t.co/0xwl3a00Fx
— はまさく (Famasaku) 2025年05月27日
https://pbs.twimg.com/media/Gr8wZX-WYAAQuvQ.jpg
東大が当時では難しい問題を出す↓予備校がこぞって研究/対策する↓受験生も対策する↓後には典型的な問題にまさに現代のゾルトラークってやつか
— Shironn (shironshiro0) 2025年05月28日
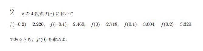
95年前の東大文系なんか『格別の配慮』で無試験やぞ https://t.co/oN5aoaUKnV
— さんだ-Travel (Number123450) 2025年05月28日
https://pbs.twimg.com/media/GsAcRUPXcAAkURV.jpg
@Famasaku これまじかこんなんだったらジジイどもが言ってる「昔の学生の方が賢かった」ってやつはどうなるんや
— 浅瀬に仇浪 (XkXfiffqy667246) 2025年05月27日
@Famasaku そもそも70年前は大学進学率が10%。進学率60%の今はちゃんと差がつく問題にして大勢をふるい落とさないといけない。入試問題なんてそのための道具でしかない。
— まめたん (hmk19962) 2025年05月28日
なお今年の富山大(医学部) https://t.co/aBfr559Xb0
— Guns N’ 浪ses (Guns_N_Rounin) 2025年05月27日
https://pbs.twimg.com/media/Gr9lgh2XMAA59iy.jpg
@Famasaku 1989年3月の東大数学って今の受験生から見てどうなのかなあ当時 難しすぎるって騒ぎになった
— キジトラ猫(小説「駒場の空にかかる月」 小説家 自治省官僚 大学教授) (tM4c8KkK1O2TYDJ) 2025年05月28日
駒場で出会った東大卒70代おじいちゃんに、「本番といえど、東大文科の数学で全答(おそらく完答の意)できないのは、努力不足」などと軽蔑された嫌な記憶を思い出した。
— H∀NiNö (HaninoToru) 2025年05月27日
これは流石に簡単な方の問題だろうけど今は調べればなんでもネットで見れる時代なのに対して昔の人は今ほど予備校や参考書、勉強法なども充実してなくて自分で考えてやってたから昔の人は凄いと思う
— 透明燃費表 (Human_bottom_ba) 2025年05月28日
@Famasaku 1分問題だ
— あなっち (ana_chi1123) 2025年05月27日
夏目漱石や芥川龍之介といった「東大卒の文豪」の答案やらノートやらが残ってたりするけど、彼らはガリ勉の秀才というよりかは器用なクリエイターとでも言うような素質があって、今の東大生とはちょっと性質が違うんじゃないか、と中学時代に教科書を眺めながら思った
— carrera (primeNo235711) 2025年05月30日
大学入試に限らず、難関資格は年々難化し、もはや対策のしようのないものもあります。そうなると次世代に負担なだけなので、外国人の受験者を減らし、日本人が必要以上の負担なく受けられる難易度の試験を求めます。
— . (llll_____111) 2025年05月28日
@Famasaku 逆に難しい😓
— Daichi (Daichi_human) 2025年05月29日
65年前の東大の問題二次試験なら今でもそれなり https://t.co/IaxFguwByI
— 激務の神様 オッス!オラ損5億! (gekimsamurai) 2025年05月29日
https://pbs.twimg.com/media/GsDyF_0W4AAe1VK.jpg
https://pbs.twimg.com/media/GsDyF_oWQAAqoSY.jpg
https://pbs.twimg.com/media/GsDyF_qWoAA39dC.jpg
センター試験できる前のでは?にしても多分簡単だけれど
— リアル外銀マン (realgaiginman) 2025年05月29日
これは稼がせる系の問題なんじゃないかなー万点前提でいかにミスせず早く解くかにしても簡単だとは思うけども東大入試のことはよくわからんけど、残り3問とか、他の科目とかとあわせて判断したい気もする
— もちぷらす (mochi_plus) 2025年05月29日






