ちょっと相談なんですが……娘(8歳)の宿題見てたんだけど、この問題ってどうしたらいいかわかる…?0÷8=0 はわかる。18÷0=???ちなみに18÷0=の答えは0らしいんだけど、コレ0になる? https://t.co/al7iV20KBN
— ちゃーろー@カメレオン絵師 (charlow_illust) 2024年06月16日
https://pbs.twimg.com/media/GQKnqQXbsAAYS6P.jpg
半分炎上してた娘(8歳)の小学校の、プリントが返ってきたので報告します。【18÷0=】を【こたえなし】で提出したら。先生に❌にされて【0】だと言われたそうです。割り算に0が入ると全て0らしい。これで本当にいいんやろうか…割れませんよね…? https://t.co/VLWhUmSpuA
— ちゃーろー@カメレオン絵師 (charlow_illust) 2024年06月18日
https://pbs.twimg.com/media/GQV2c4LasAADrYc.jpg
@charlow_illust 定義なんて言っても小学生は分からんわな😑⑤0個のケーキを8人で分けたら? →もともと無いんやから0⑥18個のケーキを0人で分けたら? →分ける人いないから答えなし割り算は分け算やからな(割合算)
— 🍍ビットマンTV🍍/Crypto Mafia (bitmanTV) 2024年06月16日
@charlow_illust “算数”の世界では答えは”ゼロ”なんですか👀!数学では「答えが存在しない」が答えです計算機やパソコンでは”エラー”になります大むかし「カシオmini」という当時のベストセラー計算機がありましたこれで “ ÷ゼロ=“ とすると突然計算機が暴走をはじめます(無限にカウントアップし続けます) https://t.co/CPRmB7ngRi
— 年中夢中 (engrosser_Yg3) 2024年06月17日
https://pbs.twimg.com/media/GQQNQjEboAAgGpA.jpg
@charlow_illust 0 では割れませんが、0 に近づくとこうなりますね。18÷1 = 1818÷0.1 = 18018÷0.01 = 180018÷0.001 = 1800018÷0.0001 = 18000018÷0.00001 = 1800000…
— math (makaya_t_math) 2024年06月17日
@charlow_illust 試しにうちの小6の息子に0で割る問題を出してみたんですが、「できない」って答えてくれました。0での除算ができないことを理解してもらうための問題なのではないでしょうか。
— Kurogane Yuichi (kurogane_yuichi) 2024年06月17日
昔読んだこの本によればうっかりメインコンピューターに0で割るプログラムが紛れ込んだため1997年9月21日アメリカのミサイル巡洋艦ヨークタウンは突如エンスト。仮復旧に3時間、エンジニアがプログラムの0を取り除くのに丸2日かかったそうな。0で割っちゃ絶対にいかんらしい。 https://t.co/zscR7cO5GJ
— 老頭児商会(ロートルショウカイ) (getachan1) 2024年06月17日
https://pbs.twimg.com/media/GQR4QXAbwAAVvga.jpg
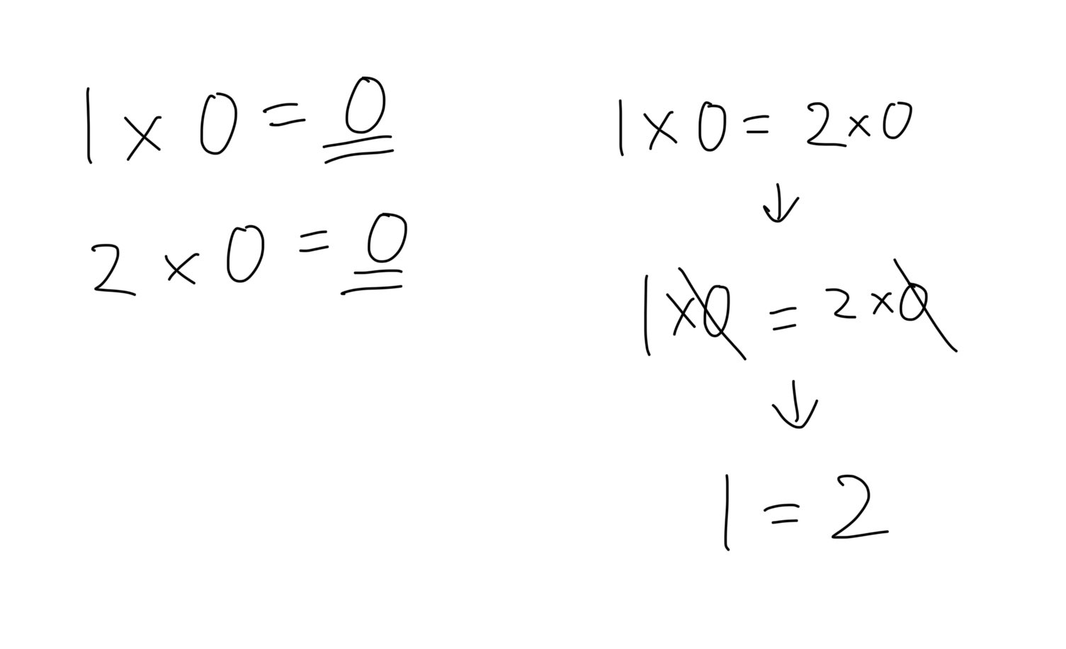
0で割る、がOKになるとこういう式が成立することになるからダメだよって覚えてる https://t.co/2c8xfy5UbY
— こばやし👉 西1ホール 西ス13b (kobayashi_0306) 2024年06月18日
https://pbs.twimg.com/media/GQT56pea4AAeaXR.jpg
定義から考えればよいと思います。8÷2は「2に何をかけたら8になるか」を聞いてるので「4」0÷8は「8に何をかけたら0になるか」を聞いているので「0」8÷0は「0に何をかけたら8になるか」を聞いているので「ない」ついでにa÷b/cは「b/cに何を(ry」を聞いてるので「c/b(をかけて1にして)×a」
— セオプラ (theory_pra) 2024年06月17日
面白そう!と思って試したんだけどアプリが古いのか「せん」しか言ってくれない🥺たぶん「できません」のせん https://t.co/sr8nm1eJiC
— らぐ (ragurika) 2024年06月17日
https://pbs.twimg.com/media/GQR8nOaaUAAOsDt.jpg
y=18÷xを反比例のグラフでイメージすれば、xを0に近付けると+∞または-∞に発散するよねっ https://t.co/SKlU5vzCWu
— 橋本祐磨 (yuma84) 2024年06月18日
https://pbs.twimg.com/media/GQSh5iRbwAE0nyY.jpg
Infinityつまり無限去年の数学の先生もそう言ってたな https://t.co/8gc7NIPRKr
— ほんこう (KH20090301) 2024年06月18日
https://pbs.twimg.com/media/GQTu_HWbYAEIzJT.jpg
昨晩に小学生息子に聞いてみると・演算が定義できない・18/0=Nが成り立つなら両辺に0をかけ18=N×0=0が成り立ってしまうと、納得の回答でした。『18の中に0が何個あるか』など、数えられませんね。
— だいすけ (tabikougaku) 2024年06月19日
フォロワッサンがやってたけど普通にエラーになるね、てかエラーって表記されるのがびっくりした https://t.co/Qg9BNfPjLb
— 綺 姫 (___ayahimechan) 2024年06月17日
@hibikiyu_ うわぁ……今日TLに回ってきた「小学生向けの不適切な設問」2個目です(;’∀’)「最近の教材を作る人はあまり勉強をしてないのかな?」と首をひねってしまいますね。(ちなみに一個目はコレhttps://t.co/syhoqc1TY6)
— 歌川ピロシキ@皆殺しじゃありません。たぶん (3w8BvMkuAYUSJtT) 2024年06月18日
https://t.co/x8pVmxyYIm
— 企画七課課長代理 (0My2w7pWKrkZEPj) 2024年06月19日
https://pbs.twimg.com/media/GQYYv3JaIAU__Tb.png
教師がバカだと困る事例。文科省もちゃんとこういったことに対する指導要綱だせよなー。0で除算は不可能です。
— アフタヌーンぬーん (afternoonJPN) 2024年06月19日
そもそもこんな問題を出してはいけません!問題は、それの答えを0と言い、誤りを教えてしまっている学校現場だと思う。※小学校教諭の場合、中学や高校のように一つの科目のエキスパートではない、という点も考慮すべきだが。…と、前職で塾の先生やってた人間がつぶやいてみました。
— あおとんとん (aotontone) 2024年06月19日









